水樣經過濾或消解后噴入貧燃性空氣-乙炔火焰,在高溫火焰中形成的鈷基態原子對鈷空心陰極燈或連續光源發射的240.7nm特征譜線產生選擇性吸收。在一定范圍內其吸光度與鈷的質量濃度成正比。
鈷在靈敏線240.7nm附近存在光譜干擾,選擇窄的光譜通帶進行測定可減少干擾。
濃度大于等于%的鹽酸、磷酸、高氯酸對鈷的測定產生正干擾;濃度大于等于5%的硫酸產生負干擾。消解后試樣中高氯酸濃度控制在2%以下不影響鈷的測定。
當Ca濃度大于200mg/L、Ni濃度大于40mg/L、Si濃度大于100mg/L時對鈷的測定產生負干擾。
1.硝酸:1.42g/ml,優級純。
2.高氯酸:1.67g/ml,優級純。
3.硝酸溶液:1+1。
4.硝酸溶液:1+99。
5.鈷:w≥99.99%,光譜純。
6.硝酸鑭或硝酸鍶。
7.鈷標準貯備液:1000mg/L。
準確稱取1g(精確至0.0001g)鈷,溶解于10ml硝酸溶液中,加熱驅除氮氧化物,冷卻后轉移至1000ml容量瓶中,并用水稀釋定容至標線,混勻。轉入聚乙烯瓶中密封,于4℃以下冷藏,可保存1年。也可使用市售有證標準溶液。
8.鈷標準使用液:50.0mg/L。
準確移取5.00ml鈷標準貯備液于100ml容量瓶中,用硝酸溶液稀釋定容至標線,混勻。轉入聚乙烯瓶中密封,于4℃以下冷藏,可保存30d。
9.基體改進劑:硝酸鑭溶液20g/L;或硝酸鍶溶液,20g/L。
稱取4.7g硝酸鑭或4.9g硝酸鍶,用少量水在燒杯中溶解后轉移到100ml容量瓶中,用水稀釋定容至標線,混勻。
10.燃氣:乙炔,純度≥99.6%。
11.助燃氣:空氣,進入燃燒器前應除去其中的水、油和其他雜質。
12.濾膜:孔徑為0.45μm的醋酸纖維或聚乙烯濾膜。
13.定量濾紙。
1.火焰原子吸收分光光度計。
2.光源:鈷空心陰極燈或具有240.7nm的連續光源。
3.可控溫電加熱板:溫控范圍為室溫到300℃,溫控精度±5℃。
4.樣品瓶:500ml,聚乙烯或相當材質。
5.一般實驗室常用儀器和設備。
可溶性鈷
水樣采集后盡快用濾膜過濾,棄去初始濾液,收集所需體積的濾液于樣品瓶中。加入適量硝酸,酸化至pH≤2,14d內測定。
總鈷
樣品采集后立即加入適量硝酸,酸化至pH≤2,14d內測定。
取可溶性鈷樣品于50ml比色管中至標線,加入0.60ml基體改進劑,混勻,待測。
量取50.0ml總鈷樣品于250ml玻璃燒杯中,加入2.5ml硝酸,在可控溫電加熱板上加熱消解,確保溶液不沸騰,至5ml左右。再加入2.5ml硝酸和1ml高氯酸繼續消解,至1ml左右。必要時可重復加入硝酸和高氯酸的操作,直到消解完全。冷卻后,加入10ml硝酸溶液,轉移至50ml比色管中(如有不溶殘渣,先用定量濾紙過濾),用硝酸溶液定容至標線,然后加入0.60ml基體改進劑,混勻,待測。
用實驗用水代替樣品,按照與試樣的制備相同的步驟,進行可溶性鈷和總鈷實驗室空白試樣的制備。
分別移取0ml、0.20ml、1.00ml、2.00ml、3.00ml、4.00ml、5.00ml鈷標準使用液于50ml比色管中,用硝酸溶液定容至標線,此標準系列濃度依次為0mg/L、0.20mg/L、1.00mg/L、2.00mg/L、3.00mg/L、4.00mg/L、5.00mg/L。然后加入0.60ml基體改進劑,混勻。按照儀器測量條件,從低濃度到高濃度依次測量吸光度。以鈷的質量濃度(mg/L)為橫坐標,以其對應的吸光度為縱坐標,建立標準曲線。

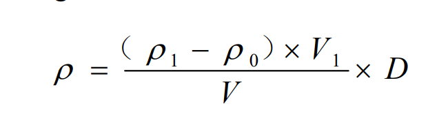
按照與標準曲線的建立相同的儀器測量條件進行試樣的測定。如果測定結果超出標準曲線范圍,應將試樣用標準系列零濃度點溶液稀釋后重新測定。水樣中鈷的濃度按照相應公式進行計算。

上一篇:工業廢水中氰化物的檢測方法
下一篇:地表水中甲基叔丁基醚的檢測步驟
最新動態